Dektalent ช่วยให้การเรียนคณิตศาสตร์ กลายเป็นเรื่องง่าย



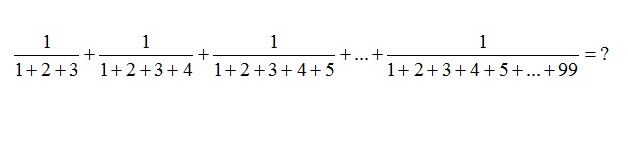
| n(n+1) |
| 2 |
| 1 | ||
|
| 2 |
| n(n+1) |
| 1 |
| 6 |
| 1 |
| 10 |
| 1 |
| 15 |
| 1 |
| 4950 |
| 2 |
| 12 |
| 2 |
| 20 |
| 2 |
| 30 |
| 2 |
| 9900 |
| 2 |
| 3x4 |
| 2 |
| 4x5 |
| 2 |
| 5x6 |
| 2 |
| 99 x 100 |
| 1 |
| 3x4 |
| 1 |
| 4x5 |
| 1 |
| 5x6 |
| 1 |
| 99 x 100 |
| 1 |
| 3 |
| 1 |
| 4 |
| 1 |
| 4 |
| 1 |
| 5 |
| 1 |
| 99 |
| 1 |
| 100 |
| 1 |
| 3 |
| 1 |
| 100 |
อยากเก่งคณิต อยากทำโจทย์แบบนี้ได้ มาสมัครเรียนคอร์สคณิตออนไลน์กับครูพี่โต๋กันค่ะ เรียนด้วยคลิป VDO พร้อมแบบฝึกหัด ไม่เหนื่อย ไม่ร้อน ไม่ต้องเดินทาง เรียนได้ 24 ชม. ไม่ต้องนัดเวลา ทบทวนได้ ถามได้ครูพี่โต๋ตอบเอง สนใจสมัครได้เรียนได้ทุกวัน
หรือคุณสามารถ สมัครสมาชิกได้ฟรี สมัครวันนี้รับสิทธิ์เข้าเรียนคอร์สออนไลน์ฟรี 5 ชั่วโมง!