ดู VDO ได้ 24 ชม. เริ่มเรียนได้ทุกวัน

Dektalent ช่วยให้การเรียนคณิตศาสตร์ กลายเป็นเรื่องง่าย

 

 

ถามลำดับเรขาคณิต ม.5 ค่ะ

โดย: A.N_t_h_
สถานะ: สมาชิก Dektalent.com
วันที่: 07 ก.พ. 2565, 13:55:57

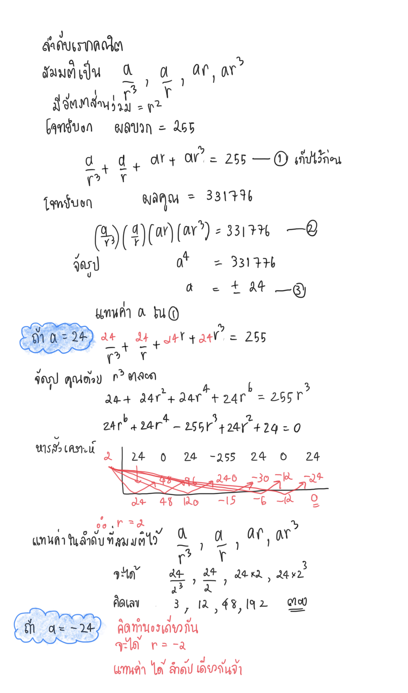
จงหาจำนวน 4 จำนวนในลำดับเรขาคณิต ที่มีผลบวกเป็น 255 และผลคูณของ 4 จำนวนเป็น 331,776
#ช่วยหน่อยค่ะ????

 

 

#21946 08 ก.พ. 2565, 22:01:31 แจ้งลบ
ตามรูปเลยค่ะ ตอนหารสังเคราะห์ คือ ไปทดลองมาแล้วนะ ว่าใช้ 2 ได้ลงตัวค่ะ

ถามลำดับเรขาคณิต ม.5 ค่ะ

อยากเก่งคณิต อยากทำโจทย์แบบนี้ได้ มาสมัครเรียนคอร์สคณิตออนไลน์กับครูพี่โต๋กันค่ะ เรียนด้วยคลิป VDO พร้อมแบบฝึกหัด ไม่เหนื่อย ไม่ร้อน ไม่ต้องเดินทาง เรียนได้ 24 ชม. ไม่ต้องนัดเวลา ทบทวนได้ ถามได้ครูพี่โต๋ตอบเอง สนใจสมัครได้เรียนได้ทุกวัน

#21947 09 ก.พ. 2565, 11:56:42 แจ้งลบ
ขอบคุณมากเลยค่ะพี่โต๋Thank you!
แสดงหน้าที่ 1 จากทั้งหมด 1 หน้า

ตอบ: ถามลำดับเรขาคณิต ม.5 ค่ะ

กรุณา Login เข้าสู่ระบบเพื่อโพสต์ในบทสนทนานี้

 

 

หรือคุณสามารถ สมัครสมาชิกได้ฟรี สมัครวันนี้รับสิทธิ์เข้าเรียนคอร์สออนไลน์ฟรี 5 ชั่วโมง!

 

หัวข้อยอดนิยมในบอร์ดนี้

 

หัวข้ออัพเดทล่าสุด

 

หัวข้อที่เกี่ยวข้อง

ขึ้นบน
อัพเดทล่าสุด: 24 ธันวาคม 2568   สงวนลิขสิทธิ์ 2553-2566 DekTalent.com ถามลำดับเรขาคณิต ม.5 ค่ะ Page Load Time: 0.021 วินาที IN