ดู VDO ได้ 24 ชม. เริ่มเรียนได้ทุกวัน

Dektalent ช่วยให้การเรียนคณิตศาสตร์ กลายเป็นเรื่องง่าย

 

 

สงสัยเรื่อง โจทย์ฟังชั่นอินเวอร์ส ขั้นบันไดครับ

สถานะ: สมาชิก Dektalent.com
วันที่: 25 มิ.ย. 2563, 16:31:21

สงสัยเรื่อง โจทย์ฟังชั่นอินเวอร์ส ขั้นบันไดครับ


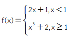
ตามรูปเลยครับ อยากทราบว่า ตอนแปลง จาก f(x) เป็น fอินเวอร์ส(x) เงื่อนไขของฟังชั่นมันจะเปลี่ยนยังไงครับ หรือว่าจะไม่เปลี่ยนครับ

 

 

#20975 26 มิ.ย. 2563, 10:50:58 แจ้งลบ
เงื่อนไข x ข้างหลัง ก็คือโดเมน

เวลาอินเวอร์ส x กับ y จะสลับที่กัน
งั้นถ้าอินเวอร์สแล้ว โดเมนใหม่ คือ เรนจ์เดิมค่ะ
สรุป คือต้องเปลี่ยนนะ

อยากเก่งคณิต อยากทำโจทย์แบบนี้ได้ มาสมัครเรียนคอร์สคณิตออนไลน์กับครูพี่โต๋กันค่ะ เรียนด้วยคลิป VDO พร้อมแบบฝึกหัด ไม่เหนื่อย ไม่ร้อน ไม่ต้องเดินทาง เรียนได้ 24 ชม. ไม่ต้องนัดเวลา ทบทวนได้ ถามได้ครูพี่โต๋ตอบเอง สนใจสมัครได้เรียนได้ทุกวัน

แสดงหน้าที่ 1 จากทั้งหมด 1 หน้า

ตอบ: สงสัยเรื่อง โจทย์ฟังชั่นอินเวอร์ส ขั้นบันไดครับ

กรุณา Login เข้าสู่ระบบเพื่อโพสต์ในบทสนทนานี้

 

 

หรือคุณสามารถ สมัครสมาชิกได้ฟรี สมัครวันนี้รับสิทธิ์เข้าเรียนคอร์สออนไลน์ฟรี 5 ชั่วโมง!

 

หัวข้อยอดนิยมในบอร์ดนี้

 

หัวข้ออัพเดทล่าสุด

 

หัวข้อที่เกี่ยวข้อง

ขึ้นบน
อัพเดทล่าสุด: 07 พฤศจิกายน 2568   สงวนลิขสิทธิ์ 2553-2566 DekTalent.com สงสัยเรื่อง โจทย์ฟังชั่นอินเวอร์ส ขั้นบันไดครับ Page Load Time: 0.024 วินาที IN