ดู VDO ได้ 24 ชม. เริ่มเรียนได้ทุกวัน

Dektalent ช่วยให้การเรียนคณิตศาสตร์ กลายเป็นเรื่องง่าย

 

 

แบบฝึกหัดเรื่องภาคตัดกรวย

โดย: knekt
สถานะ: สมาชิก Dektalent.com
วันที่: 27 ม.ค. 2561, 15:45:45

ขอวิธีทำข้อนี้หน่อยนะคะ///ขอบคุณค่ะ

แบบฝึกหัดเรื่องภาคตัดกรวย

 

 

#18062 31 ม.ค. 2561, 13:50:10 แจ้งลบ
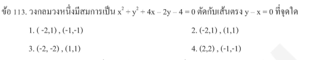
ให้ สมการวงกลม

x2 + y2 + 4x - 2y - 4 = 0    ---------------(1)

และอีกสมการ ที่โจทย์ให้
y - x = 0 ย้ายข้าง
y = x    ---------------(2)

ถามจุดตัด ก็คือให้แก้ระบบสมการค่ะ
ข้อนี้แก้ด้วยวิธีแทนค่า แทน (2) ใน (1) จะได้
x2 + x2 + 4x - 2x - 4 = 0
แก้สมการ จัดรูปไปค่ะ
2x2 + 2x - 4 = 0
แยกตัวประกอบได้
(2x - 2)(x + 2) = 0
จับแต่ละวงเล็บเท่ากับศูนย์ จะได้
               x = 1, - 2

เอาไปแทนใน (2) เพื่อหา y
ถ้า x = 1 ได้ y = 1 จุดตัดนี้คือ (1,1)
ถ้า x = -2 ได้ y = -2 จุดตัดนี้คือ (-2,-2)

ตอบค่ะ

อยากเก่งคณิต อยากทำโจทย์แบบนี้ได้ มาสมัครเรียนคอร์สคณิตออนไลน์กับครูพี่โต๋กันค่ะ เรียนด้วยคลิป VDO พร้อมแบบฝึกหัด ไม่เหนื่อย ไม่ร้อน ไม่ต้องเดินทาง เรียนได้ 24 ชม. ไม่ต้องนัดเวลา ทบทวนได้ ถามได้ครูพี่โต๋ตอบเอง สนใจสมัครได้เรียนได้ทุกวัน

แสดงหน้าที่ 1 จากทั้งหมด 1 หน้า

ตอบ: แบบฝึกหัดเรื่องภาคตัดกรวย

กรุณา Login เข้าสู่ระบบเพื่อโพสต์ในบทสนทนานี้

 

 

หรือคุณสามารถ สมัครสมาชิกได้ฟรี สมัครวันนี้รับสิทธิ์เข้าเรียนคอร์สออนไลน์ฟรี 5 ชั่วโมง!

 

หัวข้อยอดนิยมในบอร์ดนี้

 

หัวข้ออัพเดทล่าสุด

 

หัวข้อที่เกี่ยวข้อง

ขึ้นบน
อัพเดทล่าสุด: 22 กุมภาพันธ์ 2569   สงวนลิขสิทธิ์ 2553-2566 DekTalent.com แบบฝึกหัดเรื่องภาคตัดกรวย Page Load Time: 0.022 วินาที IN