Dektalent ช่วยให้การเรียนคณิตศาสตร์ กลายเป็นเรื่องง่าย

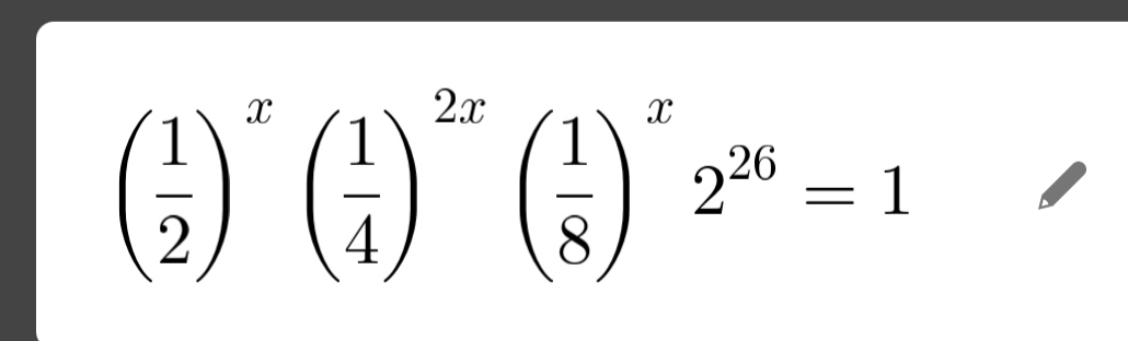
| 1 |
| 2 |
| 1 |
| 22 |
| 1 |
| 23 |
| 1 |
| an |
| -26 |
| -8 |
| 13 |
| 4 |
อยากเก่งคณิต อยากทำโจทย์แบบนี้ได้ มาสมัครเรียนคอร์สคณิตออนไลน์กับครูพี่โต๋กันค่ะ เรียนด้วยคลิป VDO พร้อมแบบฝึกหัด ไม่เหนื่อย ไม่ร้อน ไม่ต้องเดินทาง เรียนได้ 24 ชม. ไม่ต้องนัดเวลา ทบทวนได้ ถามได้ครูพี่โต๋ตอบเอง สนใจสมัครได้เรียนได้ทุกวัน
หรือคุณสามารถ สมัครสมาชิกได้ฟรี สมัครวันนี้รับสิทธิ์เข้าเรียนคอร์สออนไลน์ฟรี 5 ชั่วโมง!