ดู VDO ได้ 24 ชม. เริ่มเรียนได้ทุกวัน

Dektalent ช่วยให้การเรียนคณิตศาสตร์ กลายเป็นเรื่องง่าย

 

 

ถามวิธีการทำโจทย์ข้อนี้ค่ะ

สถานะ: สมาชิก Dektalent.com
วันที่: 10 พ.ค. 2562, 18:34:46

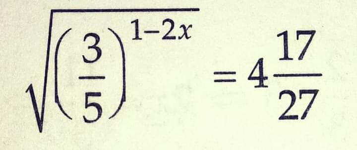
ข้อนี้โจทย์ถามหาค่า x ค่ะ
อยากรู้วิธีการทำพร้อมคำอธิบายค่ะ

ถามวิธีการทำโจทย์ข้อนี้ค่ะ

 

 

#19704 10 พ.ค. 2562, 21:38:29 แจ้งลบ
ตอบแล้วที่นี่ค่ะ
https://www.dektalent.com/board/view.php?topic=4452

อยากเก่งคณิต อยากทำโจทย์แบบนี้ได้ มาสมัครเรียนคอร์สคณิตออนไลน์กับครูพี่โต๋กันค่ะ เรียนด้วยคลิป VDO พร้อมแบบฝึกหัด ไม่เหนื่อย ไม่ร้อน ไม่ต้องเดินทาง เรียนได้ 24 ชม. ไม่ต้องนัดเวลา ทบทวนได้ ถามได้ครูพี่โต๋ตอบเอง สนใจสมัครได้เรียนได้ทุกวัน

#19724 18 พ.ค. 2562, 11:38:19 แจ้งลบ

ถามวิธีการทำโจทย์ข้อนี้ค่ะ


ช่วยสอนการบ้านข้อนี้หน่อยมั้ยคะ เรื่องเลขยกกำลัง ม.2 คะ ไม่เข้าใจเลยคะ
#19777 29 พ.ค. 2562, 14:48:42 แจ้งลบ
ช่วยแก้โจทย์ข้อนี้ให้ดูหน่อยได้ไหมคะ ไม่เข้าใจ งงมากคะ
#19778 29 พ.ค. 2562, 14:53:00 แจ้งลบ
ช่วยทำโจทย์อันนี้ให้ดูหน่อยคะ

ถามวิธีการทำโจทย์ข้อนี้ค่ะ

#19781 30 พ.ค. 2562, 18:44:39 แจ้งลบ
มี an=23 d=3 sn=98 จะหา a1กับn ยังไงครับงง อธิบายให้หน่อยครับ
แสดงหน้าที่ 1 จากทั้งหมด 1 หน้า

ตอบ: ถามวิธีการทำโจทย์ข้อนี้ค่ะ

กรุณา Login เข้าสู่ระบบเพื่อโพสต์ในบทสนทนานี้

 

 

หรือคุณสามารถ สมัครสมาชิกได้ฟรี สมัครวันนี้รับสิทธิ์เข้าเรียนคอร์สออนไลน์ฟรี 5 ชั่วโมง!

 

หัวข้อยอดนิยมในบอร์ดนี้

 

หัวข้ออัพเดทล่าสุด

 

หัวข้อที่เกี่ยวข้อง

ขึ้นบน
อัพเดทล่าสุด: 22 กุมภาพันธ์ 2569   สงวนลิขสิทธิ์ 2553-2566 DekTalent.com ถามวิธีการทำโจทย์ข้อนี้ค่ะ Page Load Time: 0.029 วินาที IN