ดู VDO ได้ 24 ชม. เริ่มเรียนได้ทุกวัน

Dektalent ช่วยให้การเรียนคณิตศาสตร์ กลายเป็นเรื่องง่าย

 

 

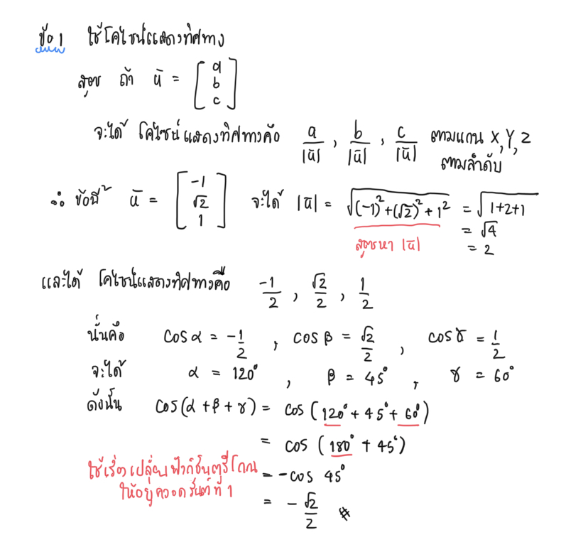
ถามการบ้านเวกเตอร์ ม.5 ข้อที่ 1 ค่ะ

โดย: million kid
สถานะ: สมาชิก Dektalent.com
วันที่: 18 ม.ค. 2565, 22:20:57

ถามการบ้านเวกเตอร์ ม.5 ข้อที่ 1ค่ะ

ถามการบ้านเวกเตอร์ ม.5 ข้อที่ 1 ค่ะ

 

 

#21912 19 ม.ค. 2565, 23:59:40 แจ้งลบ
ตามรูปนะคะ

ถามการบ้านเวกเตอร์ ม.5 ข้อที่ 1 ค่ะ

อยากเก่งคณิต อยากทำโจทย์แบบนี้ได้ มาสมัครเรียนคอร์สคณิตออนไลน์กับครูพี่โต๋กันค่ะ เรียนด้วยคลิป VDO พร้อมแบบฝึกหัด ไม่เหนื่อย ไม่ร้อน ไม่ต้องเดินทาง เรียนได้ 24 ชม. ไม่ต้องนัดเวลา ทบทวนได้ ถามได้ครูพี่โต๋ตอบเอง สนใจสมัครได้เรียนได้ทุกวัน

แสดงหน้าที่ 1 จากทั้งหมด 1 หน้า

ตอบ: ถามการบ้านเวกเตอร์ ม.5 ข้อที่ 1 ค่ะ

กรุณา Login เข้าสู่ระบบเพื่อโพสต์ในบทสนทนานี้

 

 

หรือคุณสามารถ สมัครสมาชิกได้ฟรี สมัครวันนี้รับสิทธิ์เข้าเรียนคอร์สออนไลน์ฟรี 5 ชั่วโมง!

 

หัวข้อยอดนิยมในบอร์ดนี้

 

หัวข้ออัพเดทล่าสุด

 

หัวข้อที่เกี่ยวข้อง

ขึ้นบน
อัพเดทล่าสุด: 22 ธันวาคม 2568   สงวนลิขสิทธิ์ 2553-2566 DekTalent.com ถามการบ้านเวกเตอร์ ม.5 ข้อที่ 1 ค่ะ Page Load Time: 0.029 วินาที IN