ดู VDO ได้ 24 ชม. เริ่มเรียนได้ทุกวัน

Dektalent ช่วยให้การเรียนคณิตศาสตร์ กลายเป็นเรื่องง่าย

 

 

ถามการบ้าน​ฟังค์ชั่น​ม.4​ ค่ะ

โดย: ก้อย
สถานะ: สมาชิก Dektalent.com
วันที่: 29 ก.ย. 2565, 23:57:51

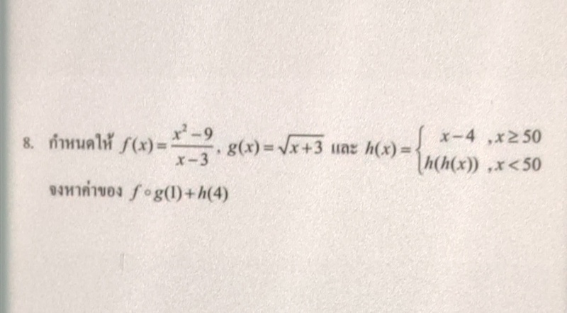
กำหนดให้f(x)​=x^2-9/x-3​, g(x)​=รูท (x+3)
และ​h(x)​={ (1) x-4, x​>หรือ=50
(2) h(h(x)), x< 50
จงหาค่าของ​ fog(1)+h(4)
h(x) เป็นเงื่อนไขค่ะ​
fog(1)=5​ ใช่มั้ยคะ​ และ​ h(4) หายังไงคะ​

ถามการบ้าน​ฟังค์ชั่น​ม.4​ ค่ะ

 

 

#22078 01 ต.ค. 2565, 09:54:33 แจ้งลบ
fog(1) = 5 ถูกแล้วค่ะ

h(4) ดูว่า 4 อยู่เงื่อนไขไหน
จะได้เงื่อนไขล่างนะ เพราะ 4 < 50

เลยได้
h(4) = h(h(4))

ให้ h(4) = a
จะได้
a = h(a)
ถ้า a = 4 จะได้
h(4) = 4 นี่ค่ะ ได้แล้ว

อยากเก่งคณิต อยากทำโจทย์แบบนี้ได้ มาสมัครเรียนคอร์สคณิตออนไลน์กับครูพี่โต๋กันค่ะ เรียนด้วยคลิป VDO พร้อมแบบฝึกหัด ไม่เหนื่อย ไม่ร้อน ไม่ต้องเดินทาง เรียนได้ 24 ชม. ไม่ต้องนัดเวลา ทบทวนได้ ถามได้ครูพี่โต๋ตอบเอง สนใจสมัครได้เรียนได้ทุกวัน

แสดงหน้าที่ 1 จากทั้งหมด 1 หน้า

ตอบ: ถามการบ้าน​ฟังค์ชั่น​ม.4​ ค่ะ

กรุณา Login เข้าสู่ระบบเพื่อโพสต์ในบทสนทนานี้

 

 

หรือคุณสามารถ สมัครสมาชิกได้ฟรี สมัครวันนี้รับสิทธิ์เข้าเรียนคอร์สออนไลน์ฟรี 5 ชั่วโมง!

 

หัวข้อยอดนิยมในบอร์ดนี้

 

หัวข้ออัพเดทล่าสุด

 

หัวข้อที่เกี่ยวข้อง

ขึ้นบน
อัพเดทล่าสุด: 17 ธันวาคม 2568   สงวนลิขสิทธิ์ 2553-2566 DekTalent.com ถามการบ้าน​ฟังค์ชั่น​ม.4​ ค่ะ Page Load Time: 0.023 วินาที IN