ดู VDO ได้ 24 ชม. เริ่มเรียนได้ทุกวัน

Dektalent ช่วยให้การเรียนคณิตศาสตร์ กลายเป็นเรื่องง่าย

 

 

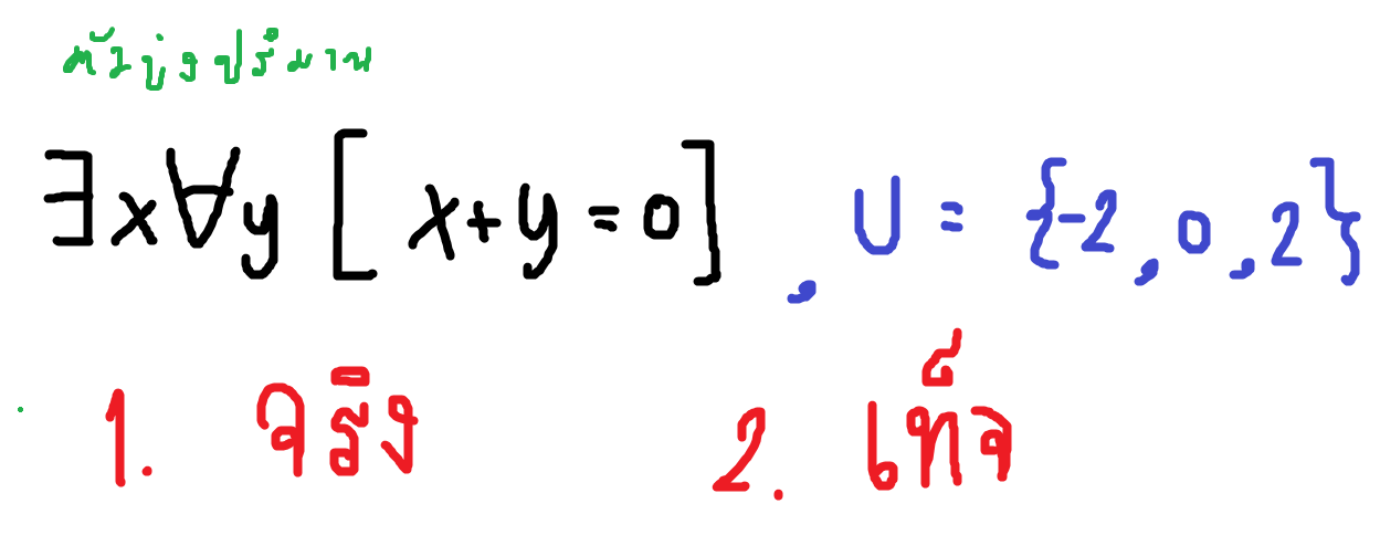
โจทย์ตัวบ่งปริมาณข้อนี้จริงหรือเท็จ????

สถานะ: สมาชิก Dektalent.com
วันที่: 02 มิ.ย. 2561, 17:43:50

โจทย์ตัวบ่งปริมาณข้อนี้จริงหรือเท็จ????

โจทย์ตัวบ่งปริมาณข้อนี้จริงหรือเท็จ????

 

 

#18590 03 มิ.ย. 2561, 17:53:52 แจ้งลบ
ต้องลองแทนค่า
x + y = 0
แบบให้มี x ซักตัวที่ได้กับ y ทุกตัว

เช่น
ถ้า x = -2 , y = -2 ลองแทน -2 + (-2) 0 ดังนั้น x = -2 ใช้ไม่ได้ ลองตัวอื่น
---------------
ถ้า x = 0 , y = -2 ลองแทน 0 + (-2) 0 ดังนั้น x = 0 ใช้ไม่ได้ ลองตัวอื่น
---------------
ถ้า x = 2 , y = -2 ลองแทน 2 + (-2) = 0 อันนี้ได้ ลองเปลี่ยน y เป็นตัวอื่น
ถ้า x = 2 , y = 0 ลองแทน 2 +0 0 ไม่ได้ละ เพราะว่า โจทย์บอกว่า xy

แบบนี้เลยบอกว่า เป็นเท็จค่ะ

อยากเก่งคณิต อยากทำโจทย์แบบนี้ได้ มาสมัครเรียนคอร์สคณิตออนไลน์กับครูพี่โต๋กันค่ะ เรียนด้วยคลิป VDO พร้อมแบบฝึกหัด ไม่เหนื่อย ไม่ร้อน ไม่ต้องเดินทาง เรียนได้ 24 ชม. ไม่ต้องนัดเวลา ทบทวนได้ ถามได้ครูพี่โต๋ตอบเอง สนใจสมัครได้เรียนได้ทุกวัน

แสดงหน้าที่ 1 จากทั้งหมด 1 หน้า

ตอบ: โจทย์ตัวบ่งปริมาณข้อนี้จริงหรือเท็จ????

กรุณา Login เข้าสู่ระบบเพื่อโพสต์ในบทสนทนานี้

 

 

หรือคุณสามารถ สมัครสมาชิกได้ฟรี สมัครวันนี้รับสิทธิ์เข้าเรียนคอร์สออนไลน์ฟรี 5 ชั่วโมง!

 

หัวข้อยอดนิยมในบอร์ดนี้

 

หัวข้ออัพเดทล่าสุด

 

หัวข้อที่เกี่ยวข้อง

ขึ้นบน
อัพเดทล่าสุด: 25 กุมภาพันธ์ 2569   สงวนลิขสิทธิ์ 2553-2566 DekTalent.com โจทย์ตัวบ่งปริมาณข้อนี้จริงหรือเท็จ???? Page Load Time: 0.023 วินาที IN