ดู VDO ได้ 24 ชม. เริ่มเรียนได้ทุกวัน

Dektalent ช่วยให้การเรียนคณิตศาสตร์ กลายเป็นเรื่องง่าย

 

 

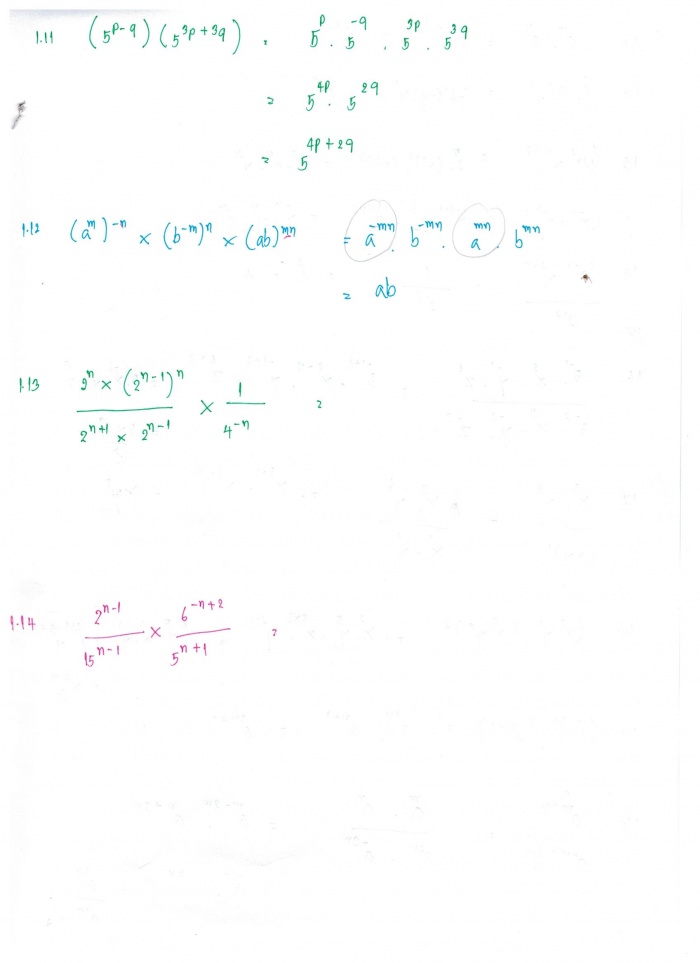
ถ่ามการบ้านค่ะ

โดย: จ๋า
สถานะ: สมาชิก Dektalent.com
วันที่: 04 ส.ค. 2558, 19:40:45

ถ่ามการบ้านค่ะ


ถูกไหมค่ะ ข้อ 1.13. 1.14 ทำไม่ได้ค่ะ

 

 

#12163 05 ส.ค. 2558, 23:49:14 แจ้งลบ
ตอบแล้วที่นี่ค่ะ https://www.dektalent.com/board/view.php?topic=2698

อยากเก่งคณิต อยากทำโจทย์แบบนี้ได้ มาสมัครเรียนคอร์สคณิตออนไลน์กับครูพี่โต๋กันค่ะ เรียนด้วยคลิป VDO พร้อมแบบฝึกหัด ไม่เหนื่อย ไม่ร้อน ไม่ต้องเดินทาง เรียนได้ 24 ชม. ไม่ต้องนัดเวลา ทบทวนได้ ถามได้ครูพี่โต๋ตอบเอง สนใจสมัครได้เรียนได้ทุกวัน

แสดงหน้าที่ 1 จากทั้งหมด 1 หน้า

ตอบ: ถ่ามการบ้านค่ะ

กรุณา Login เข้าสู่ระบบเพื่อโพสต์ในบทสนทนานี้

 

 

หรือคุณสามารถ สมัครสมาชิกได้ฟรี สมัครวันนี้รับสิทธิ์เข้าเรียนคอร์สออนไลน์ฟรี 5 ชั่วโมง!

 

หัวข้อยอดนิยมในบอร์ดนี้

 

หัวข้ออัพเดทล่าสุด

 

หัวข้อที่เกี่ยวข้อง

ขึ้นบน
อัพเดทล่าสุด: 22 กุมภาพันธ์ 2569   สงวนลิขสิทธิ์ 2553-2566 DekTalent.com ถ่ามการบ้านค่ะ Page Load Time: 0.023 วินาที IN