ดู VDO ได้ 24 ชม. เริ่มเรียนได้ทุกวัน

Dektalent ช่วยให้การเรียนคณิตศาสตร์ กลายเป็นเรื่องง่าย

 

 

ถามเรื่องสถิติครับ

โดย: ต้น
สถานะ: สมาชิก Dektalent.com
วันที่: 02 ก.พ. 2558, 21:15:21

สูตรS.D ผมไปเจอมามันมี2สูตรนี่ใช้ต่างกันยังไงหรอครับ
ระหว่างS.D.สูตรที่เปนรูท
 
(x-x)2ส่วนN กับอีกสูตรคือส่วนจะเป็นN-1นี่ต่างกันยังไงใช้ยังไงหรอครับ


อีกข้อคือถามเรื่องโจทย์ครับ
โจทย์มีอยุ่ว่า
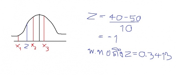
คะแนนสอบครั้งหนึ่งมีการแจกแจงปกติ ซึ่งมีค่าเฉลี่ยเลขคณิตเท่ากับ50 คะแนน และส่วนเบี่ยงเบนมาตรฐานเท่ากับ10คะแนน ถ้ามีจำนวนนักเรียนที่สอบได้ระหว่างคะแนนxและ40คะแนนอยุ่13.59%จงหาคะแนนx

ซึ่งผมคิดคะแนน40ได้แล้วว่าคือ-1มันจะอยู่ด้านซ้าย แต่xผมไม่รุ้ว่าเส้นมันจะอยุ่ตรงไหนหรอครับ

จากรูปผมลองวาดเส้นโค้งเองตามภาพหา40มาคือz=-1เส้นสีน้ำเงิน แล้วคะแนนxผมไม่รุ้ว่าหายังไงหรอครับว่ามันจะอยุ่ที่เส้นx1 x2 x3ในภาพที่ผมขีดเอาไว้อะครับ
ผมไม่รุ้ว่ามันจะดูยังไงให้รุ้ว่าคะแนนxเส้นมันจะอย่ตรงไหนหรอครับ???เศร้า

ถามเรื่องสถิติครับ

 

 

#10549 02 ก.พ. 2558, 21:27:15 แจ้งลบ
n-1 ใช้เมื่อข้อมูลเป็นประชากรค่ะ

ซึ่งส่วนใหญ่โจทย์ จะพูดถึงข้อมูลที่เป็นกลุ่มตัวอย่างเท่านั้นค่ะ

-----------------
โจทย์บอกคะแนนระหว่าง x ถึง 40
น่าจะหมายถึง x น้อยกว่า
คือ หมายถึง x มาเรื่อยๆ จนถึง 40 แบบนี้ค่ะ

อยากเก่งคณิต อยากทำโจทย์แบบนี้ได้ มาสมัครเรียนคอร์สคณิตออนไลน์กับครูพี่โต๋กันค่ะ เรียนด้วยคลิป VDO พร้อมแบบฝึกหัด ไม่เหนื่อย ไม่ร้อน ไม่ต้องเดินทาง เรียนได้ 24 ชม. ไม่ต้องนัดเวลา ทบทวนได้ ถามได้ครูพี่โต๋ตอบเอง สนใจสมัครได้เรียนได้ทุกวัน

แสดงหน้าที่ 1 จากทั้งหมด 1 หน้า

ตอบ: ถามเรื่องสถิติครับ

กรุณา Login เข้าสู่ระบบเพื่อโพสต์ในบทสนทนานี้

 

 

หรือคุณสามารถ สมัครสมาชิกได้ฟรี สมัครวันนี้รับสิทธิ์เข้าเรียนคอร์สออนไลน์ฟรี 5 ชั่วโมง!

 

หัวข้อยอดนิยมในบอร์ดนี้

 

หัวข้ออัพเดทล่าสุด

 

หัวข้อที่เกี่ยวข้อง

ขึ้นบน
อัพเดทล่าสุด: 22 กุมภาพันธ์ 2569   สงวนลิขสิทธิ์ 2553-2566 DekTalent.com ถามเรื่องสถิติครับ Page Load Time: 0.026 วินาที IN