ดู VDO ได้ 24 ชม. เริ่มเรียนได้ทุกวัน

Dektalent ช่วยให้การเรียนคณิตศาสตร์ กลายเป็นเรื่องง่าย

 

 

แยกตัวประกอบพหุนาม

โดย: Ko Boonta-Kub
สถานะ: สมาชิก Dektalent.com
วันที่: 28 ก.ย. 2557, 17:53:09

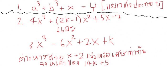
ช่วยหน่อยนะครับจำมาจากข้อสอบปลายภาคที่ร.รครับผม

แยกตัวประกอบพหุนาม

 

 

#9979 28 ก.ย. 2557, 19:07:25 แจ้งลบ
ข้อ 1 นี่น่าจะโจทย์ไม่ครบค่ะ

ข้อ 2
เวลาจะหาเศษจากการหาร ด้วย x - c
ให้แทน c เข้าไปในสมการเลย จะได้เศษจากการหารค่ะ

ข้อนี้ บอกว่า หารด้วย x + 2
แปลว่า ให้แทน x = -2 เข้าไป ทั้งสองสมการแล้วจับมาเท่ากัน (เพราะบอกว่าเศษเท่ากัน) จะติดแค่ ค่า k อยากเดียว แก้สมการจะได้ค่า k

แล้วอยากหาอะไรก็หาได้แล้วค่ะ
ลองดูนะคะ

อึ้งYou Geat!!


อยากเก่งคณิต อยากทำโจทย์แบบนี้ได้ มาสมัครเรียนคอร์สคณิตออนไลน์กับครูพี่โต๋กันค่ะ เรียนด้วยคลิป VDO พร้อมแบบฝึกหัด ไม่เหนื่อย ไม่ร้อน ไม่ต้องเดินทาง เรียนได้ 24 ชม. ไม่ต้องนัดเวลา ทบทวนได้ ถามได้ครูพี่โต๋ตอบเอง สนใจสมัครได้เรียนได้ทุกวัน

#9980 29 ก.ย. 2557, 01:41:23 แจ้งลบ
ขอบคุณครับผม^ ^
แสดงหน้าที่ 1 จากทั้งหมด 1 หน้า

ตอบ: แยกตัวประกอบพหุนาม

กรุณา Login เข้าสู่ระบบเพื่อโพสต์ในบทสนทนานี้

 

 

หรือคุณสามารถ สมัครสมาชิกได้ฟรี สมัครวันนี้รับสิทธิ์เข้าเรียนคอร์สออนไลน์ฟรี 5 ชั่วโมง!

 

หัวข้อยอดนิยมในบอร์ดนี้

 

หัวข้ออัพเดทล่าสุด

 

หัวข้อที่เกี่ยวข้อง

ขึ้นบน
อัพเดทล่าสุด: 03 ธันวาคม 2568   สงวนลิขสิทธิ์ 2553-2566 DekTalent.com แยกตัวประกอบพหุนาม Page Load Time: 0.022 วินาที IN